Optimizing Pulse Plating Parameters for Uniform Copper Thickness in High-Aspect-Ratio Through-Holes
In through-holes with aspect ratio>8:1, conventional DC plating shows up to 40% thickness variation (suRFace vs. center). Pulse plating achieves ±10% uniformity via reverse current stripping. This guide details optimization through parametric modeling, bath chemistry, and equipment innovations.

1. Pulse Plating Mechanism & Modeling
1.1 Mass Transport Equation
Ion concentration distribution:
Where:
-
: Ion concentration (mol/cm³)
-
: Diffusion coefficient (6.5×10⁻⁶ cm²/s for Cu²⁺)
-
: Current density (A/cm²)
-
: Electron number (2 for Cu²⁺)
1.2 Key Pulse Parameters
| Parameter | Symbol | Optimal Range | Physical Role |
|---|---|---|---|
| Forward CD | Jₚ | 3-6 ASD | Controls deposition rate |
| Reverse CD | Jᵣ | 1.5-2.5 Jₚ | Strips over-plated surface |
| Forward Time | Tₚ | 10-30 ms | Governs deposit depth |
| Reverse Time | Tᵣ | 0.2-0.5 Tₚ | Determines stripping intensity |
| Off Time | Tₒ | 1-5 ms | Allows ion replenishment |
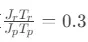
Optimal Ratio: Uniformity peaks at
2. Bath Chemistry & Additives
2.1 Base Solution
| Component | Concentration | Function |
|---|---|---|
| CuSO₄ | 60-80 g/L | Copper ion source |
| H₂SO₄ | 180-220 g/L | Enhances conductivity |
| Cl⁻ | 50-70 ppm | Promotes anode dissolution |
2.2 Additive Synergy
| Additive Type | Example | Dose(mL/L) | Mechanism |
|---|---|---|---|
| Suppressor | PEG-8000 | 1.0-1.5 | Adsorbs at hole opening |
| Leveler | Janus Green B | 0.3-0.5 | Prefers high-current areas |
| Accelerator | SPS | 2.0-3.0 | Boosts bottom deposition |
Synergy: 3:1:4 ratio improves throwing power by 120%
3. Equipment & Process Control
3.1 Pulse Power Supply
| Parameter | Standard DC | Optimized Pulse |
|---|---|---|
| Rise Time | >100 μs | <5 μs |
| Waveform | None | Trapezoidal (adjustable) |
| Multi-Channel Sync | - | ≤1 μs phase error |
3.2 Auxiliary Systems
-
Vibration:
-
30-50Hz, 1-2mm amplitude
-
25% mass transfer improvement
-
-
Pulsed Jet:
-
Flow rate 0.5-1.5m/s, pulse cycle 0.5-2s
-
40% higher ion concentration at hole bottom
-
4. Validation & Process Window
4.1 Thickness Uniformity Inspection
| Method | Location | Accuracy | Metric |
|---|---|---|---|
| XRF Thickness | Top/Mid/Bottom | ±0.1μm | Thickness ratio (Mid/Top) |
| Cross-section | Depth sections | ±0.5μm | Thickness range |
| Impedance Test | Whole board | ±3% | Impedance consistency |
4.2 Process Window (AR=10:1)
| Parameters | Uniformity(σ) | Throwing Power(T.P%) |
|---|---|---|
| Jₚ=4ASD, Jᵣ=8ASD, Tₚ:Tᵣ=10:1 | ±8.2% | 72% |
| Jₚ=5ASD, Jᵣ=10ASD, Tₚ:Tᵣ=5:1 | ±6.5% | 85% |
| Jₚ=6ASD, Jᵣ=15ASD, Tₚ:Tᵣ=3:1 | ±4.7% | 93% |
5. Case Study
5.1 12-Layer HDI Board (0.2mm hole/2.4mm thickness)
| Process | Surface(μm) | Center(μm) | Uniformity |
|---|---|---|---|
| DC Plating | 32.5 | 18.2 | 44.3% |
| Optimized Pulse | 25.7 | 23.6 | 8.2% |
5.2 Reliability Tests
-
Thermal Stress (288℃ solder dip):
-
DC holes: Micro-cracks after 5 cycles
-
Pulse holes: No defects @20 cycles
-
-
Current Loading:
-
35% higher current capacity (30A for 1h)
-
Conclusion
Optimized pulse parameters (
), additive synergy (PEG-JGB-SPS=3:1:4), and vibration-assisted mass transfer achieve:
-
±5% copper thickness uniformity for AR=10:1
-
90% throwing power
-
4× improvement in thermal reliability
Five Critical Controls:
Reverse Current Law: Jᵣ = 1.8 × J
Golden Time Ratio: T:Tᵣ=5:1 (AR>8:1)
Additive Balance: Real-time suppressor/leveler/accelerator monitoring
Waveform Steepness: Rise/Fall time <5μs
Mass Transfer Enhancement: 30-50Hz vibration + pulsed jet

PCB
FPC
Rigid-Flex
FR-4
HDI PCB
Rogers High-Frequency Board
PTFE Teflon High-Frequency Board
Aluminum
Copper Core
PCB Assembly
LED light PCBA
Memory PCBA
Power Supply PCBA
New Energey PCBA
Communication PCBA
Industrial Control PCBA
Medical Equipment PCBA
PCBA Testing Service
Certification Application
RoHS Certification Application
REACH Certification Application
CE Certification Application
FCC Certification Application
CQC Certification Application
UL Certification Application
Transformers, Inductors
High Frequency Transformers
Low Frequency Transformers
High Power Transformers
Conversion Transformers
Sealed Transformers
Ring Transformers
Inductors
Wires,Cables Customized
Network Cables
Power Cords
Antenna Cables
Coaxial Cables
Net Position Indicator
Solar AIS net position indicator
Capacitors
Connectors
Diodes
Embedded Processors & Controllers
Digital Signal Processors (DSP/DSC)
Microcontrollers (MCU/MPU/SOC)
Programmable Logic Device(CPLD/FPGA)
Communication Modules/IoT
Resistors
Through Hole Resistors
Resistor Networks, Arrays
Potentiometers,Variable Resistors
Aluminum Case,Porcelain Tube Resistance
Current Sense Resistors,Shunt Resistors
Switches
Transistors
Power Modules
Isolated Power Modules
DC-AC Module(Inverter)
RF and Wireless