Optimizing Heat Conduction in High-Power PCB Design
Optimizing Heat Conduction in High-Power Pcb Design Through Copper Thickness, Thermal Vias, and Heat Sink Design. Key Parameters for Thermal Resistance Calculation
In high-power PCB design, thermal management is critical to ensuring circuit reliability and long-term stability. Power devices (e.g., MOSFETs, IGBTs, power ICs) generate significant heat during operation. Poor heat dissipation can lead to temperature rise, peRFormance degradation, or even device failure. Below are methods to optimize heat conduction through copper thickness, thermal vias, and heat sink design, along with key parameters for thermal resistance calculations.
I. Key Design Methods to Optimize Heat Conduction
1. Copper Thickness Optimization
Copper, with its high thermal conductivity (~385 W/m·K), is the primary heat-conducting material in PCBs. Increasing copper thickness enhances heat dissipation.
Optimization Strategies:
-
Thick Copper for High-Current Paths: Use 2 oz (70 μm) or thicker copper for high-power traces or power planes to reduce resistive losses (Joule heating) and improve lateral heat spreading.
-
Copper Layer Layout: Place large copper pours under heat-generating components and stack multiple copper layers (e.g., power/ground planes) to create 3D heat dissipation paths.
-
Cost-Benefit Balance: Thicker copper increases etching complexity and cost; optimize based on power density and thermal requirements.
2. Thermal Via Design
Thermal vias transfer heat vertically from components to other PCB layers or heat sinks.
Optimization Strategies:
-
Dense Arrays: Deploy high-density via arrays (e.g., 0.3 mm diameter, 0.6 mm pitch) under or around heat sources to minimize thermal resistance.
-
Filling and Plating: Fill vias with conductive epoxy or resin and increase via wall copper thickness (≥25 μm) to reduce air gaps and thermal resistance.
-
Thermal Connections: Link vias to internal copper planes or backside heat sinks to establish "thermal pathways."
3. Heat Sink Integration
Heat sinks enhance heat dissipation by increasing surface area and enabling forced convection.
Optimization Strategies:
-
Direct Mounting: Attach heat sinks to components using thermal adhesive, screws, or clips. Ensure flat contact surfaces (apply thermal grease if needed).
-
Embedded Heat Sinks: Use metal-core substrates (e.g., aluminum or copper) or embedded metal blocks (MCPCB) for extreme power applications.
-
Finned Designs: Employ finned heat sinks to maximize surface area, paired with fans for forced airflow.
II. Key Parameters for Thermal Resistance Calculation
Thermal resistance (, in °C/W) quantifies the impediment to heat flow. Total thermal resistance is the sum of resistances across the heat transfer path:
Critical Parameters:
1. Junction-to-Case Thermal Resistance ()
-
Definition: Resistance from the device junction to its case, determined by packaging materials and structure.
-
Typical Values: 1–5°C/W for power MOSFETs (refer to datasheets).
2. Interface Thermal Resistance ()
-
Factors:
-
Surface roughness: Air gaps from rough surfaces increase resistance.
-
Thermal interface material (TIM): Thermal grease (~0.1°C·cm²/W) outperforms air (~5°C·cm²/W).
-
-
Formula:
3. PCB Internal Thermal Resistance (��-pcb)
-
Copper Layer Resistance:
-
Via Resistance:
Example: 10 copper-filled vias (0.3 mm diameter, 1.6 mm length) yield ~0.08°C/W total resistance.
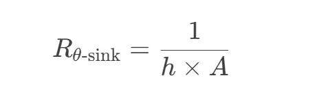
4. Heat Sink-to-Ambient Resistance (��-sink)
-
Natural Convection: Depends on surface area and emissivity; typical range: 5–20°C/W.
-
Forced Convection: With fans, resistance drops to 1–5°C/W.
-
Formula:
ℎ: Convection coefficient (5–25 W/m²·K for natural, up to 100 W/m²·K for forced).
: Effective heat sink surface area.
III. Design Example and Tradeoffs
Case Study: 20W MOSFET Thermal Design
-
Device Parameters:
-
Thermal Budget Allocation:
IV. Key Takeaways
-
Copper Optimization: Thicker copper layers reduce lateral resistance.
-
Thermal Vias: High-density, filled vias minimize vertical resistance.
-
Heat Sinks: Balance surface area and convection methods for efficiency.
-
Thermal Modeling: Use hierarchical resistance models and simulation tools (e.g., ANSYS Icepak) for validation.
In practice, combine thermal simulations with infrared thermography to ensure alignment between theoretical predictions and real-world performance.

PCB
FPC
Rigid-Flex
FR-4
HDI PCB
Rogers High-Frequency Board
PTFE Teflon High-Frequency Board
Aluminum
Copper Core
PCB Assembly
LED light PCBA
Memory PCBA
Power Supply PCBA
New Energey PCBA
Communication PCBA
Industrial Control PCBA
Medical Equipment PCBA
PCBA Testing Service
Certification Application
RoHS Certification Application
REACH Certification Application
CE Certification Application
FCC Certification Application
CQC Certification Application
UL Certification Application
Transformers, Inductors
High Frequency Transformers
Low Frequency Transformers
High Power Transformers
Conversion Transformers
Sealed Transformers
Ring Transformers
Inductors
Wires,Cables Customized
Network Cables
Power Cords
Antenna Cables
Coaxial Cables
Net Position Indicator
Solar AIS net position indicator
Capacitors
Connectors
Diodes
Embedded Processors & Controllers
Digital Signal Processors (DSP/DSC)
Microcontrollers (MCU/MPU/SOC)
Programmable Logic Device(CPLD/FPGA)
Communication Modules/IoT
Resistors
Through Hole Resistors
Resistor Networks, Arrays
Potentiometers,Variable Resistors
Aluminum Case,Porcelain Tube Resistance
Current Sense Resistors,Shunt Resistors
Switches
Transistors
Power Modules
Isolated Power Modules
DC-AC Module(Inverter)
RF and Wireless





