Professional Analysis of Laser Drilling Parameter Optimization for Ceramic Substrates
Professional Analysis of Laser Drilling Parameter Optimization for Ceramic Substrates
CeramIC substrates (e.g., Al₂O₃, AlN) pose challenges in laser drilling, including crack formation, heat-affected zone (HAZ) expansion, and hole geometry control, due to their high hardness, high melting point, and low thermal expansion coefficient (CTE). Parameter optimization must address laser characteristics, material response, and process stability, focusing on the following key aspects:

I. Laser Type and Wavelength Selection
-
UV Laser (355nm)
-
Advantages: High photon energy (~3.5eV) breaks ceramic bonds, minimizing thermal diffusion; ideal for high-reflectivity ceramics (e.g., AlN).
-
Applications: Micro-vias (≤100μm) with HAZ ≤20μm.
-
-
CO₂ Laser (10.6μm)
-
Advantages: High average power (>100W) for thick substrates (>1mm) but with significant HAZ.
-
Applications: Coarse holes (>200μm) with lower precision requirements.
-
II. Core Parameter Optimization Strategies
1. Energy Parameters
-
Pulse Energy:
-
Low Energy (<0.1mJ): Reduces HAZ but requires multiple pulses (10–20) for penetration.
-
High Energy (>1mJ): Single-pulse penetration for thick substrates but risks microcracks.
-
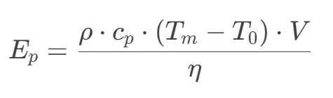
Optimization Formula:
-
: Density, : Specific heat, : Melting point, : Ablated volume, : Absorption rate.
-
-
Pulse Width:
-
Ultrafast (ps/fs): Cold ablation mechanism (HAZ ≤5μm), high equipment cost.
-
Nanosecond (10–100ns): Balances cost and quality, requires thermal management.
-
2. Temporal-Spatial Parameters
-
Repetition Rate:
-
High frequency (>50kHz) improves efficiency but demands synchronized scan speed.
-
Rule:
: Scan speed, : Spot diameter.
-
-
Scan Speed:
-
Low speed (<500mm/s) ensures pulse overlap (>80%) but increases HAZ.
-
High speed (>1000mm/s) reduces heat input, requiring higher pulse energy.
-
-
Spot Diameter:
-
Small spots (<30μm) enable high precision, needing high-precision galvanometers.
-
3. Auxiliary Parameters
-
Assist Gas:
-
N₂: Inert environment minimizes oxidation and removes debris.
-
Compressed Air: Cost-effective but may introduce contamination.
-
Pressure Optimization: 0.2–0.5MPa; excessive pressure causes turbulent walls.
-
-
Focal Position:
-
Positive Defocus (+50–100μm): Enhances depth control and reduces taper.
-
Negative Defocus: Increases suRFace energy density for thin substrates.
-
III. Quality Evaluation & Feedback Control
-
Hole Diameter Consistency:
-
Tolerance: ±5μm (for 50μm holes), adjusted via real-time CCD monitoring.
-
-
Taper Control:
-
Target taper angle ≤5°, achieved via helical drilling or beam shaping.
-
-
HAZ Suppression:
-
UV lasers with short pulses achieve HAZ <10μm.
-
-
Wall Roughness:
-
Ra ≤2μm, optimized by gas flow and pulse overlap.
-
IV. Typical Parameters (Al₂O₃ Substrate)
| Parameter | UV Laser (355nm) | CO₂ Laser (10.6μm) |
|---|---|---|
| Pulse Energy | 0.05–0.1mJ | 1–5mJ |
| Pulse Width | 10–30ns | 100–200ns |
| Repetition Rate | 30–50kHz | 5–10kHz |
| Scan Speed | 800–1200mm/s | 200–500mm/s |
| Spot Diameter | 20–30μm | 100–150μm |
| Assist Gas | N₂ (0.3MPa) | Compressed Air (0.2MPa) |
| Max Depth | ≤0.5mm | ≤2mm |
V. Failure Modes & Solutions
-
Edge Cracks: Reduce pulse energy, increase repetition rate.
-
Residue: Boost gas pressure or apply clean pulses.
-
Excessive Taper: Adjust defocus or use Top-Hat beam shaping.

PCB
FPC
Rigid-Flex
FR-4
HDI PCB
Rogers High-Frequency Board
PTFE Teflon High-Frequency Board
Aluminum
Copper Core
PCB Assembly
LED light PCBA
Memory PCBA
Power Supply PCBA
New Energey PCBA
Communication PCBA
Industrial Control PCBA
Medical Equipment PCBA
PCBA Testing Service
Certification Application
RoHS Certification Application
REACH Certification Application
CE Certification Application
FCC Certification Application
CQC Certification Application
UL Certification Application
Transformers, Inductors
High Frequency Transformers
Low Frequency Transformers
High Power Transformers
Conversion Transformers
Sealed Transformers
Ring Transformers
Inductors
Wires,Cables Customized
Network Cables
Power Cords
Antenna Cables
Coaxial Cables
Net Position Indicator
Solar AIS net position indicator
Capacitors
Connectors
Diodes
Embedded Processors & Controllers
Digital Signal Processors (DSP/DSC)
Microcontrollers (MCU/MPU/SOC)
Programmable Logic Device(CPLD/FPGA)
Communication Modules/IoT
Resistors
Through Hole Resistors
Resistor Networks, Arrays
Potentiometers,Variable Resistors
Aluminum Case,Porcelain Tube Resistance
Current Sense Resistors,Shunt Resistors
Switches
Transistors
Power Modules
Isolated Power Modules
DC-AC Module(Inverter)
RF and Wireless